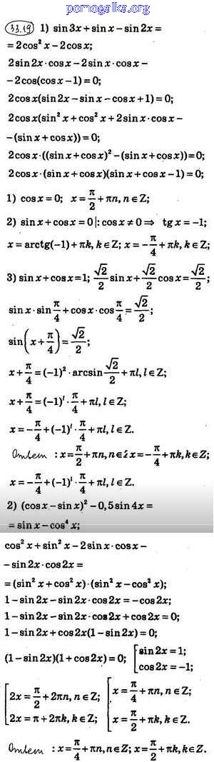
Готовые ответы - Математика: алгебра и начала математического анализа 10 класс Мерзляк А.Г. - §33  33.19

Готовые ответы - Математика: алгебра и начала математического анализа 10 класс Мерзляк А.Г. - §33 33.19

Алгебра 10 Учебник

§33 / 33.19

Решебник

§2. Конечные и бесконечные множества №1-17

§3. Высказывания и операции над ними №1-16

§4. Предикаты. Операции над предикатами. Виды теорем №1-13

§6. Построение графиков функций с помощью геометрических преобразований №1-18

§9. Степенная функция с натуральным показателем №1-15

§10. Степенная функция с целым показателем №1-10

§15. Различные приёмы решения иррациональных уравнений и их систем №1-18

§16. Иррациональные неравенства №1-11

§18. Тригонометрические функции числового аргумента №1-18

§19. Знаки значений тригонометрических функций. Чётность и нечётность тригонометрических функций №1-14

§22. Свойства и графики функций y = tg x и y = ctg x №1-9

§23. Основные соотношения между тригонометрическими функциями одного и того же аргумента №1-16

§25. Формулы приведения №1-9

§27. Формулы для преобразования суммы, разности и произведения тригонометрических функций №1-20

§33. Решение тригонометрических уравнений методом разложения на множители. Применение ограниченности тригонометрических функций №1-20

§34. О равносильных переходах при решении тригонометрических уравнений №1-12

§35. Тригонометрические неравенства №1-12

§36. Определение предела функции в точке и функции, непрерывной в точке №1-14

§37. Задачи о мгновенной скорости и касательной к графику функции №1-10

§42. Точки экстремума функции №1-4

Трать меньше времени на решение домашнего задания. Зайдя на помогалку, вы найдете все подходящие ответы к Учебнику Алгебра 10 класс Мерзляк, Номировский Алгоритм успеха Углубленный уровень на упражнение §33. Решение тригонометрических уравнений методом разложения на множители. Применение ограниченности тригонометрических функций №1-20 33.19
Значительная информационная база

Значительная информационная база

Наличие практических заданий

Наличие практических заданий

Вспомогательный инструмент для учителя

Вспомогательный инструмент для учителя

Структурированное пособие на каждый урок

Структурированное пособие на каждый урок

Онлайн-информатор без дополнительных капиталовложений

Онлайн-информатор без дополнительных капиталовложений

Онлайн-информатор без дополнительных капиталовложений

Экономия времени на изучении материала