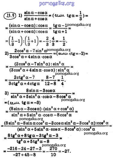
Готовые ответы - Математика: алгебра и начала математического анализа 10 класс Мерзляк А.Г. - §23 23.9
Алгебра
10
Учебник
Мерзляк А.Г., Номировский Д.А., Поляков В.М.
§1. Множества. Операции над множествами №1-20
§2. Конечные и бесконечные множества №1-17
§3. Высказывания и операции над ними №1-16
§4. Предикаты. Операции над предикатами. Виды теорем №1-13
§5. Функция и её свойства №1-28
§6. Построение графиков функций с помощью геометрических преобразований №1-18
§7. Обратная функция №1-18
§8. Метод интервалов №1-22
§9. Степенная функция с натуральным показателем №1-15
§11. Определение корня n-й степени. у= n√x №1-33
§12. Свойства корня n-й степени №1-33
§13. Степень с рациональным показателем и её свойства №1-27
§14. Иррациональные уравнения №1-19
§15. Различные приёмы решения иррациональных уравнений и их систем №1-18
§17. Радианная мера угла №1-19
§18. Тригонометрические функции числового аргумента №1-18
§19. Знаки значений тригонометрических функций. Чётность и нечётность тригонометрических функций №1-14
§20. Периодические функции №1-17
§21. Свойства и графики функций у = sin x и y = cos x №1-19
§23. Основные соотношения между тригонометрическими функциями одного и того же аргумента №1-16
§24. Формулы сложения №1-37
§26. Формулы двойного, тройного и половинного углов №1-47
§27. Формулы для преобразования суммы, разности и произведения тригонометрических функций №1-20
§28. Уравнение cosx = b №1-18
§29. Уравнение sinx = b №1-18
§30. Уравнение tgx = b, ctgx = b №1-12
§31. Функции у = arccosx, y = arcsinx, у = arctgx и у = arcctgx №1-41
§32. Тригонометрические уравнения, сводящиеся к алгебраическим №1-34
§33. Решение тригонометрических уравнений методом разложения на множители. Применение ограниченности тригонометрических функций №1-20
§34. О равносильных переходах при решении тригонометрических уравнений №1-12
§36. Определение предела функции в точке и функции, непрерывной в точке №1-14
§37. Задачи о мгновенной скорости и касательной к графику функции №1-10
§38. Понятие производной №1-25
§39. Правила вычисления производных №1-29
§40. Уравнение касательной №1-32
§41. Признаки возрастания и убывания функции №1-23
Значительная информационная база
Наличие практических заданий
Вспомогательный инструмент для учителя
Структурированное пособие на каждый урок
Онлайн-информатор без дополнительных капиталовложений
Экономия времени на изучении материала