Готовые ответы - Математика 6 класс контрольные и самостоятельные работы Журавлев С.Г. - ср-40. вариант самостоятельная работа 3

Готовые ответы - Математика 6 класс контрольные и самостоятельные работы Журавлев С.Г. - ср-40. вариант самостоятельная работа 3

Математика 6 Контрольные и самостоятельные работы

самостоятельная работа / ср-40. вариант / 3

Решебник

Самостоятельные работы 1-46

СР-1. Варианты

СР-2. Варианты

СР-3. Варианты

СР-4. Варианты

СР-5. Варианты

СР-6. Варианты

СР-7. Варианты

СР-8. Варианты

СР-9. Варианты

СР-10. Варианты

СР-11. Варианты

СР-12. Варианты

СР-13. Варианты

СР-14. Варианты

СР-15. Варианты

СР-16. Варианты

СР-17. Варианты

СР-18. Варианты

СР-19. Варианты

СР-20. Варианты

СР-21. Варианты

СР-22. Варианты

СР-23. Варианты

СР-24. Варианты

СР-25. Варианты

СР-26. Варианты

СР-27. Варианты

СР-28. Варианты

СР-29. Варианты

СР-30. Варианты

СР-31. Варианты

СР-32. Варианты

СР-33. Варианты

СР-34. Варианты

СР-35. Варианты

СР-36. Варианты

СР-37. Варианты

СР-38. Варианты

СР-39. Варианты

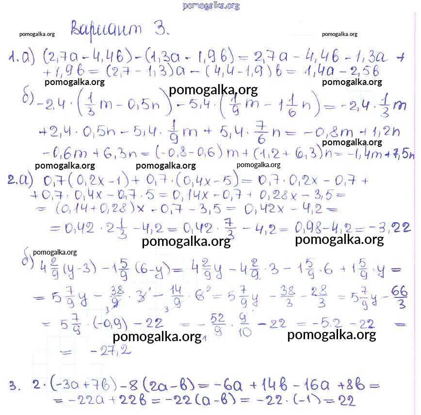
СР-40. Варианты

СР-41. Варианты

СР-42. Варианты

СР-43. Варианты

СР-44. Варианты

СР-45. Варианты

СР-46. Варианты

Контрольные работы 1-10

КР-1. Варианты

КР-2. Варианты

КР-3. Варианты

КР-4. Варианты

КР-5. Варианты

КР-6. Варианты

КР-7. Варианты

КР-8. Варианты

КР-9. Варианты

КР-10. Варианты

Трать меньше времени на решение домашнего задания. Зайдя на помогалку, вы найдете все подходящие ответы к Контрольным и самостоятельным работам Математика 6 класс Журавлев, Изотова УМК на упражнение СР-40. Варианты самостоятельная работа 3
Значительная информационная база

Значительная информационная база

Наличие практических заданий

Наличие практических заданий

Вспомогательный инструмент для учителя

Вспомогательный инструмент для учителя

Структурированное пособие на каждый урок

Структурированное пособие на каждый урок

Онлайн-информатор без дополнительных капиталовложений

Онлайн-информатор без дополнительных капиталовложений

Онлайн-информатор без дополнительных капиталовложений

Экономия времени на изучении материала