Готовые ответы - Математика 5 класс контрольные работы Жохов В.И. - кр-11. вариант  1

Готовые ответы - Математика 5 класс контрольные работы Жохов В.И. - кр-11. вариант 1

Математика 5 Контрольные работы

кр-11. вариант / 1

Решебник №1

Решебник №2

Сложение и вычитание

Тест 1. Варианты 1-4

Тест 2. Варианты 1-4

КТ. Варианты 1-4

ПР. Варианты 1-4

КР-1. Варианты 1-4

КР-2. Варианты 1-4

КР-3. Варианты 1-4

КР-4. Варианты 1-4

КР-5. Варианты 1-4

КР-6. Варианты 1-4

КР-7. Варианты 1-4

КР-8. Варианты 1-4

КР-9. Варианты 1-4

КР-10. Варианты 1-4

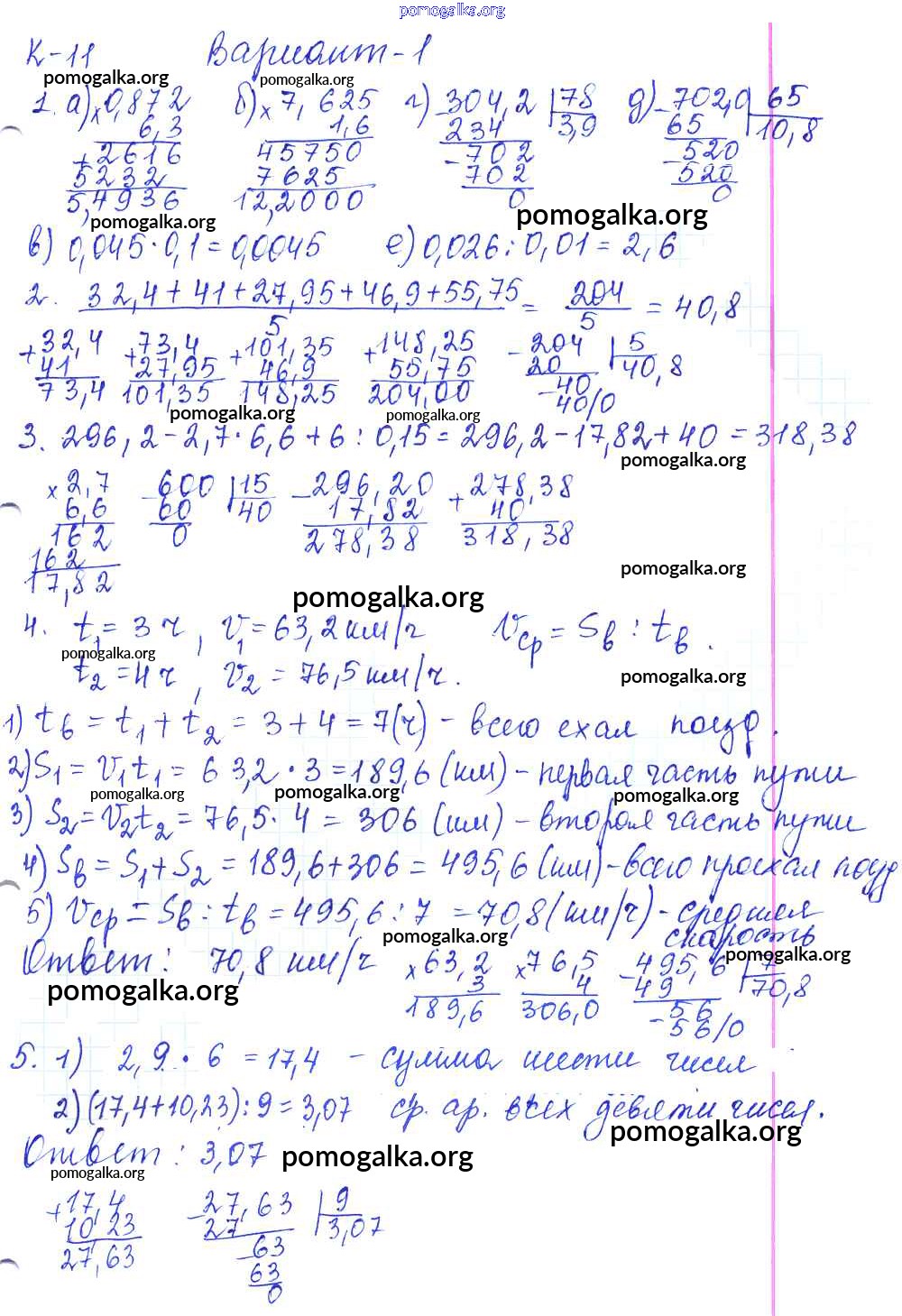
КР-11. Варианты 1-4

КР-12. Варианты 1-4

КР-13. Варианты 1-4

КР-14. Варианты 1-4

Итоговая контрольная работа. Варианты 1-4

Трать меньше времени на решение домашнего задания. Зайдя на помогалку, вы найдете все подходящие ответы к Контрольным работам Математика 5 класс Жохов, Крайнева на упражнение КР-11. Варианты 1-4 1
Значительная информационная база

Значительная информационная база

Наличие практических заданий

Наличие практических заданий

Вспомогательный инструмент для учителя

Вспомогательный инструмент для учителя

Структурированное пособие на каждый урок

Структурированное пособие на каждый урок

Онлайн-информатор без дополнительных капиталовложений

Онлайн-информатор без дополнительных капиталовложений

Онлайн-информатор без дополнительных капиталовложений

Экономия времени на изучении материала