Готовые ответы - Математика 5 класс Дидактические материалы Кузнецова Л.В. - о-36 обучающая работа 13

Готовые ответы - Математика 5 класс Дидактические материалы Кузнецова Л.В. - о-36 обучающая работа 13

Математика 5 Дидактические материалы

обучающая работа / о-36 / 13

Решебник

Обучающие работы 1-40

О-2. Представление числа в виде суммы разрядных слагаемых

О-3. Сравнение натуральных чисел

О-4. Переход от одних единиц измерений к другим

О-5. Округление натуральных чисел

О-6. Решение комбинаторных задач

О-8. Прикидка и оценка

О-9. Проверка ответа задачи

О-10. Решение задач

О-13. Нахождение неизвестных компонентов умножения и деления

О-14. Прикидка и оценка

О-15. Решение задач

О-18. Решение задач на движение

О-19. Решение задач на движение по реке

О-20. Свойства сложения и умножения

О-21. Решение задач на части

О-22. Решение задач на уравнивание

О-26. Деление с остатком

О-28. Приведение дробей к новому знаменателю. Сокращение дробей

О-29. Приведение дробей к общему знаменателю

О-31. Деление и дроби. Представление натуральных чисел дробями

О-32. Сложение дробей

О-33. Вычитание дробей

О-34. Выделение целой части из неправильной дроби. Представление смешанной дроби в виде неправильной дроби

О-35. Сложение и вычитание смешанных дробей

О-37. Деление дробей

О-38. Нахождение части целого

О-39. Нахождение целого по его части

О-40. Все действия с дробями

Проверочные работы 1-44

ПР №1. Ломаная

ПР №2. Окружность

ПР №3. Запись натуральных чисел

ПР №4. Сравнение чисел

ПР №5. Координатная прямая

ПР №6. Сложение и вычитание

ПР №7. Сложение и вычитание - решение задач

ПР №8. Умножение и деление

ПР №9. Умножение и деление - решение задач

ПР №10. Порядок действий в вычислениях

ПР №11. Порядок действий в вычислениях

ПР №12. Степень числа

ПР №13. Задачи на движение

ПР №14. Задачи на движение по реке

ПР №15. Использование свойств действий при вычислении

ПР №16. Решение задач по части

ПР №17. Решение задач на уравнивание

ПР №19. Делители и кратные

ПР №20. Признаки делимости

ПР №21. Прямоугольники

ПР №22. Треугольники

ПР №23. Площади

ПР №24. Что такое дробь

ПР №25. Координатная прямая

ПР №26. Основное свойство дроби

ПР №27. Приведение дробей к общему знаменателю

ПР №28. Сравнение дробей

ПР №29. Натуральные числа и дроби

ПР №30. Сложение дробей

ПР №31. Вычитание дробей

ПР №32. Смешанные дроби

ПР №33. Сложение смешанных дробей

ПР №34. Вычитание смешанных дробей

ПР №35. Умножение дробей

ПР №36. Решение задач

ПР №37. Деление дробей

ПР №38. Решение задач

ПР №39. Нахождение части целого

ПР №40. Нахождение целого по его части

ПР №41. Многогранники

ПР №42. Прямоугольный параллелепипед

ПР №44. Пирамида

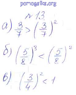
Трать меньше времени на решение домашнего задания. Зайдя на помогалку, вы найдете все подходящие ответы к Дидактическим материалам Математика 5 класс Кузнецова, Минаева Академический школьный учебник на упражнение О-36. Умножение дробей обучающая работа 13
Значительная информационная база

Значительная информационная база

Наличие практических заданий

Наличие практических заданий

Вспомогательный инструмент для учителя

Вспомогательный инструмент для учителя

Структурированное пособие на каждый урок

Структурированное пособие на каждый урок

Онлайн-информатор без дополнительных капиталовложений

Онлайн-информатор без дополнительных капиталовложений

Онлайн-информатор без дополнительных капиталовложений

Экономия времени на изучении материала