Готовые ответы - Математика 3 класс Дорофеев Г.В. - страница 40 часть 2 7

Готовые ответы - Математика 3 класс Дорофеев Г.В. - страница 40 часть 2 7

Математика 3 Учебник

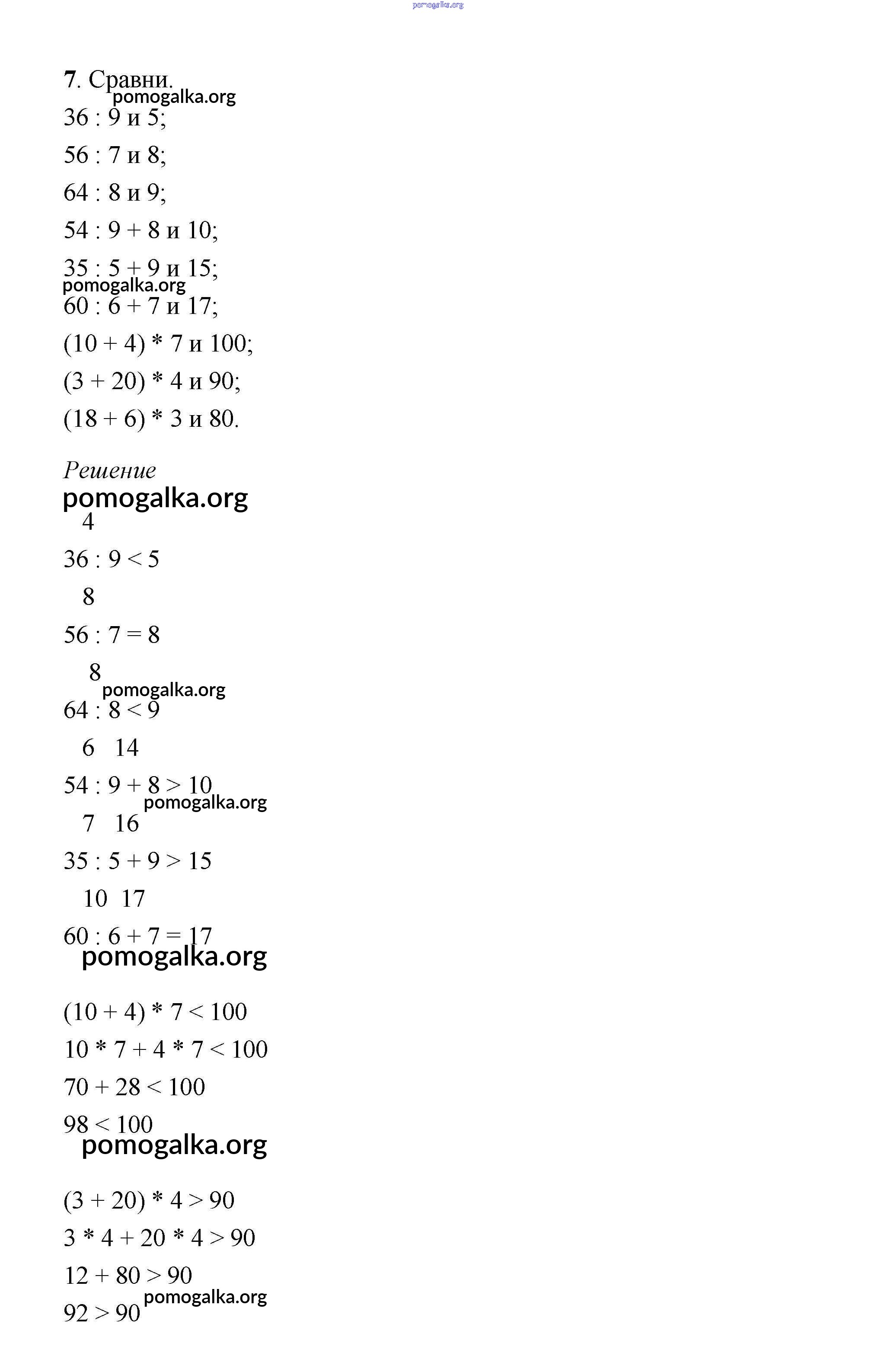
часть 2 / страница 40 / 7

Решебник №1

Решебник №2

Решебник №3

Часть 1. Страницы 3-122

Страница 23

Страница 64

Страница 72

Страница 86

Страница 87

Страница 94

Страница 110

Страница 113

Часть 2. Страницы 3-121

Страница 12

Страница 14

Страница 20

Страница 26

Страница 35

Страница 46

Страница 98

Страница 118

Страница 121

Трать меньше времени на решение домашнего задания. Зайдя на помогалку, вы найдете все подходящие ответы к Учебнику Математика 3 класс Дорофеев, Миракова Часть 1, 2 на упражнение Страница 40 часть 2 7
Значительная информационная база

Значительная информационная база

Наличие практических заданий

Наличие практических заданий

Вспомогательный инструмент для учителя

Вспомогательный инструмент для учителя

Структурированное пособие на каждый урок

Структурированное пособие на каждый урок

Онлайн-информатор без дополнительных капиталовложений

Онлайн-информатор без дополнительных капиталовложений

Онлайн-информатор без дополнительных капиталовложений

Экономия времени на изучении материала