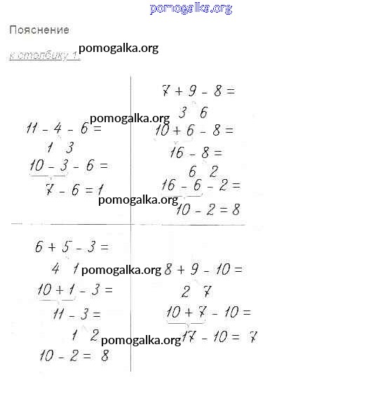
Готовые ответы - Математика 2 класс рабочая тетрадь Волкова С.И. - часть 1. страница  20

Готовые ответы - Математика 2 класс рабочая тетрадь Волкова С.И. - часть 1. страница 20

Математика 2 Рабочая тетрадь

часть 1. страница / 20

Решебник №1

Решебник №2

Решебник №3

Решебник №4

Решебник №5

Трать меньше времени на решение домашнего задания. Зайдя на помогалку, вы найдете все подходящие ответы к Рабочей тетради Математика 2 класс Волкова, Моро Школа России Часть 1, 2 на упражнение Часть 1. Страницы 3-82 20
Значительная информационная база

Значительная информационная база

Наличие практических заданий

Наличие практических заданий

Вспомогательный инструмент для учителя

Вспомогательный инструмент для учителя

Структурированное пособие на каждый урок

Структурированное пособие на каждый урок

Онлайн-информатор без дополнительных капиталовложений

Онлайн-информатор без дополнительных капиталовложений

Онлайн-информатор без дополнительных капиталовложений

Экономия времени на изучении материала