Готовые ответы - Химия 8 класс Габриелян О.С. - пр-9 практическая работа 2

Готовые ответы - Химия 8 класс Габриелян О.С. - пр-9 практическая работа 2

Химия 8 Учебник

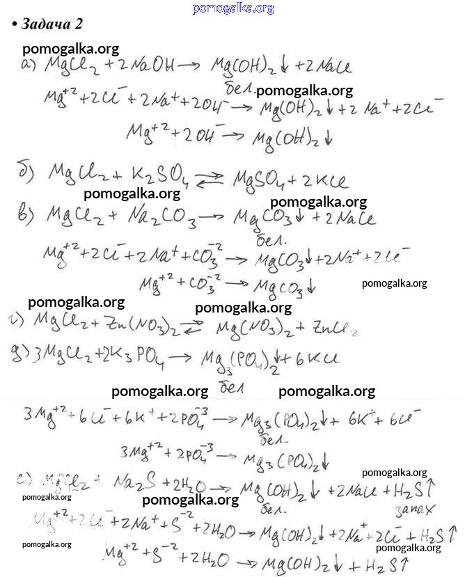
практическая работа / пр-9 / 2

Решебник №1

Решебник №2

Решебник №3

§1. Химия — часть естествознания. №1-5

§2. Предмет химии. Вещества. №1-10

§3. Превращения веществ. Роль химии в жизни человека. №1-5

§4. Краткий очерк истории развития химии. №1-5

§5. Периодическая система химических элементов Д. И. Менделеева. Знаки химических элементов. №1-6

§6. Химические формулы. Относительная атомная и молекулярная массы. №1-8

§7. Основные сведения о строении атомов. №1-7

§8. Изменения в составе ядер атомов химических элементов. Изотопы. №1-6

§9. Строение электронных оболочек атомов. №1-9. №1-9

§10. Изменение числа электронов на внешнем энергетическом уровне атомов химических элементов. №1-4

§11. Взаимодействие атомов элементов-неметаллов между собой. №1-5

§12. Ковалентная полярная химическая связь. №1-6

§13. Металлическая химическая связь. №1-4

§14. Простые вещества — металлы. №1-5

§15. Простые вещества — неметаллы. №1-5

§16. Количество вещества. №1-5

§17. Молярный объём газов. №1-5

§18. Степень окисления. №1-7

§19. Важнейшие классы бинарных соединений — оксиды и летучие водородные соединения. №1-6

§20. Основания. №1-6

§21. Кислоты. №1-4

§22. Соли. №1-3

§23. Кристаллические решётки. №1-7

§24. Чистые вещества и смеси. №1-4

§25. Массовая и объёмная доли компонентов смеси (раствора). №1-7

§26. Физические явления в химии. №1-6

§27. Химические реакции. №1-6

§28. Химические уравнения. №1-4

§29. Расчёты по химическим уравнениям. №1-5

§30. Реакции разложения. №1-6

§31. Реакции соединения. №1-8

§32. Реакции замещения. №1-5

§33. Реакции обмена. №1-6

§34. Типы химических реакций на примере свойств воды. №1-5

§35. Растворение. Растворимость веществ в воде. №1-7

§36.Электролитическая диссоциация. №1-5

§37. Основные положения теории электролитической диссоциации. №1-6

§38. Ионные уравнения. №1-5

§39. Кислоты, их классификация и свойства. №1-6

§40. Основания, их классификация и свойства. №1-6

§41. Оксиды, их классификация и свойства. №1-5

§42. Соли, их классификация и свойства. №1-5

§43. Генетическая связь между классами веществ. №1-5

§44. Окислительно-восстановительные реакции. №1-8

Практические работы №1-9

Пр-5

Пр-8

Вариант 1

Вариант 2

Трать меньше времени на решение домашнего задания. Зайдя на помогалку, вы найдете все подходящие ответы к Учебнику Химия 8 класс Габриелян Вертикаль на упражнение Пр-9 практическая работа 2
Значительная информационная база

Значительная информационная база

Наличие практических заданий

Наличие практических заданий

Вспомогательный инструмент для учителя

Вспомогательный инструмент для учителя

Структурированное пособие на каждый урок

Структурированное пособие на каждый урок

Онлайн-информатор без дополнительных капиталовложений

Онлайн-информатор без дополнительных капиталовложений

Онлайн-информатор без дополнительных капиталовложений

Экономия времени на изучении материала