Готовые ответы - Химия 11 класс Габриелян О.С. - §15  9

Готовые ответы - Химия 11 класс Габриелян О.С. - §15 9

Химия 11 Учебник

§15 / 9

Решебник

§1. Атом — сложная частица

§2. Состояние электронов в атоме

§3. Электронные конфигурации атомов химических элементов

§4. Валентные возможности атомов химических элементов

§5. Периодический закон, Периодическая система химических элементов Д. И. Менделеева и строение атома

§6. Химическая связь

§7. Гибридизация атомных орбиталей и геометрия молекул

§8. Теория строения химических соединений

§9. Полимеры

§10. Дисперсные системы и растворы

§11. Классификация химических реакций

§12. Тепловые эффекты и причины протекания химических реакций

§13. Скорость химических реакций

§14. Обратимость химических реакций. Химическое равновесие

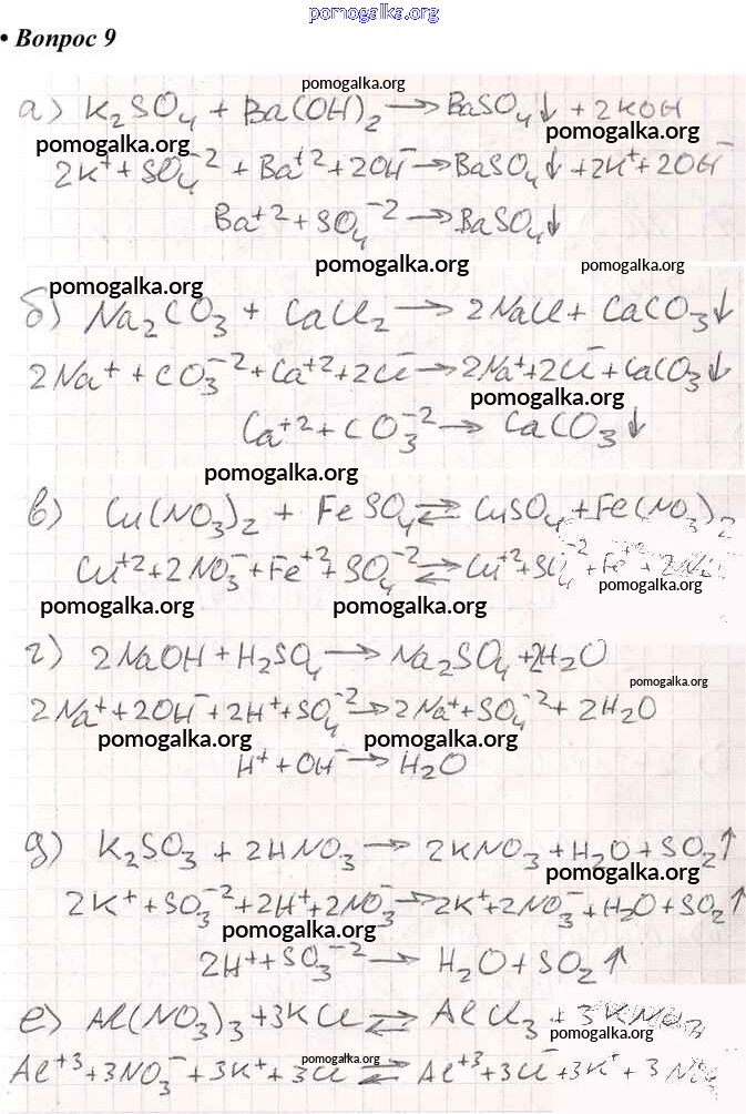
§15. Электролитическая диссоциация

§17. Классификация веществ

§18. Общая характеристика металлов и их соединений

§19. Коррозия металлов

§20. Способы получения металлов

§21. Электролиз. Химические источники тока

§22. Металлы главных подгрупп

§23. Металлы побочных подгрупп

§24. Общая характеристика неметаллов и их соединений

§25. Галогены

§26. Халькогены. Сера

§27. Неметаллы пятой группы: азот и фосфор

§28. Неметаллы четвёртой группы: углерод и кремний

§29. Кислоты органические и неорганические

§30. Основания органические и неорганические

§31. Амфотерные органические и неорганические соединения

§32. Генетическая связь между классами неорганических и органических веществ

§33. Химия и производство

§34. Химия и сельское хозяйство

§35. Химия и повседневная жизнь человека

Практические работы №1-7

Трать меньше времени на решение домашнего задания. Зайдя на помогалку, вы найдете все подходящие ответы к Учебнику Химия 11 класс Габриелян, Лысова Вертикаль Углубленный уровень на упражнение §15. Электролитическая диссоциация 9
Значительная информационная база

Значительная информационная база

Наличие практических заданий

Наличие практических заданий

Вспомогательный инструмент для учителя

Вспомогательный инструмент для учителя

Структурированное пособие на каждый урок

Структурированное пособие на каждый урок

Онлайн-информатор без дополнительных капиталовложений

Онлайн-информатор без дополнительных капиталовложений

Онлайн-информатор без дополнительных капиталовложений

Экономия времени на изучении материала