Готовые ответы - Химия 10 класс Габриелян О.С. - §15  12

Готовые ответы - Химия 10 класс Габриелян О.С. - §15 12

Химия 10 Учебник

§15 / 12

Решебник

§1. Предмет органической химии. Органические вещества. №1-10

§2. Теория строения органических соединений А.М.Бутлерова. №1-9

§3. Строение атома углерода. №1-7

§4. Валентные состояния атома углерода. №1-8

§5. Классификация органических соединений. №1-6

§6. Основы номенклатуры органических соединений. №1-7

§7. Изомерия и её виды. №1-10

§8. Типы химических реакций в органической химии. №1-5

§9. Типы реакционноспособных частиц и механизмы реакций в органической химии. №1-9

§12. Алкины. №1-9

§13. Алкадиены. №1-10

§14. Циклоалканы. №1-8

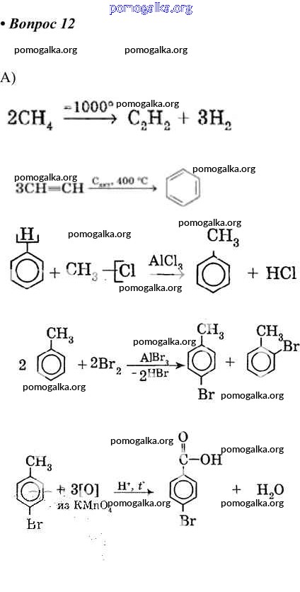
§15. Ароматические углеводороды. №1-13

§16. Природные источники углеводородов. №1-15

§19. Альдегиды и кетоны. №1-15

§21. Сложные эфиры. Жиры. №1-13

§22. Углеводы, их классификация и значение. №1-8

§23. Моносахариды. Гексозы. Глюкоза. Фруктоза. №1-12

§24. Дисахариды. Сахароза. Полисахариды. №1-9

§26. Аминокислоты. №1-10

§28. Нуклеиновые кислоты. №1-9

§29. Витамины. №1-7

§30. Ферменты. №1-9

§31. Гормоны. №1-10

Практические работы. №1-10

Трать меньше времени на решение домашнего задания. Зайдя на помогалку, вы найдете все подходящие ответы к Учебнику Химия 10 класс Габриелян, Остроумов Вертикаль Углубленный уровень на упражнение §15. Ароматические углеводороды. №1-13 12
Значительная информационная база

Значительная информационная база

Наличие практических заданий

Наличие практических заданий

Вспомогательный инструмент для учителя

Вспомогательный инструмент для учителя

Структурированное пособие на каждый урок

Структурированное пособие на каждый урок

Онлайн-информатор без дополнительных капиталовложений

Онлайн-информатор без дополнительных капиталовложений

Онлайн-информатор без дополнительных капиталовложений

Экономия времени на изучении материала