Готовые ответы - Геометрия 9 класс Дидактические материалы Зив Б.Г. - ср-13. вариант самостоятельные работы 1

Готовые ответы - Геометрия 9 класс Дидактические материалы Зив Б.Г. - ср-13. вариант самостоятельные работы 1

Геометрия 9 Дидактические материалы

самостоятельные работы / ср-13. вариант / 1

Решебник

Самостоятельные работы 1-20

СР-1. Варианты

СР-2. Варианты

СР-3. Варианты

СР-4. Варианты

СР-5. Варианты

СР-6. Варианты

СР-7. Варианты

СР-8. Варианты

СР-9. Варианты

СР-10. Варианты

СР-11. Варианты

СР-12. Варианты

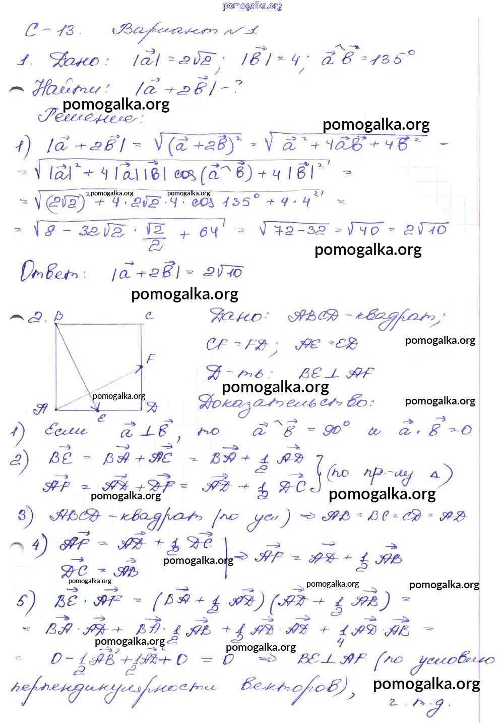
СР-13. Варианты

СР-14. Варианты

СР-15. Варианты

СР-16. Варианты

СР-17. Варианты

СР-18. Варианты

СР-19. Варианты

СР-20. Варианты

Математические диктанты 1-2

МД-1. Варианты

МД-2. Варианты

Контрольные работы 1-3

КР-1. Варианты

КР-2. Варианты

КР-3. Варианты

Проверочные работы

ПР-1. Варианты

Трать меньше времени на решение домашнего задания. Зайдя на помогалку, вы найдете все подходящие ответы к Дидактическим материалам Геометрия 9 класс Зив на упражнение СР-13. Варианты самостоятельные работы 1
Значительная информационная база

Значительная информационная база

Наличие практических заданий

Наличие практических заданий

Вспомогательный инструмент для учителя

Вспомогательный инструмент для учителя

Структурированное пособие на каждый урок

Структурированное пособие на каждый урок

Онлайн-информатор без дополнительных капиталовложений

Онлайн-информатор без дополнительных капиталовложений

Онлайн-информатор без дополнительных капиталовложений

Экономия времени на изучении материала