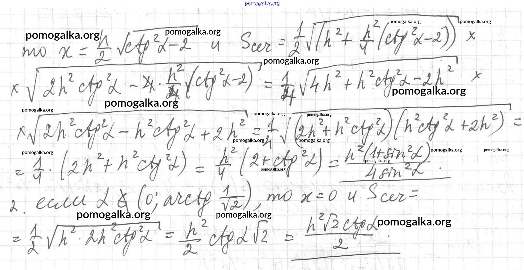
Готовые ответы - Геометрия 11 класс Мерзляк А.Г. - §11  11.27

Готовые ответы - Геометрия 11 класс Мерзляк А.Г. - §11 11.27

Геометрия 11 Учебник

§11 / 11.27

Решебник

Трать меньше времени на решение домашнего задания. Зайдя на помогалку, вы найдете все подходящие ответы к Учебнику Геометрия 11 класс Мерзляк, Номировский Алгоритм успеха Углубленный уровень на упражнение §11. Комбинации конуса и пирамиды. №1-33 11.27
Значительная информационная база

Значительная информационная база

Наличие практических заданий

Наличие практических заданий

Вспомогательный инструмент для учителя

Вспомогательный инструмент для учителя

Структурированное пособие на каждый урок

Структурированное пособие на каждый урок

Онлайн-информатор без дополнительных капиталовложений

Онлайн-информатор без дополнительных капиталовложений

Онлайн-информатор без дополнительных капиталовложений

Экономия времени на изучении материала