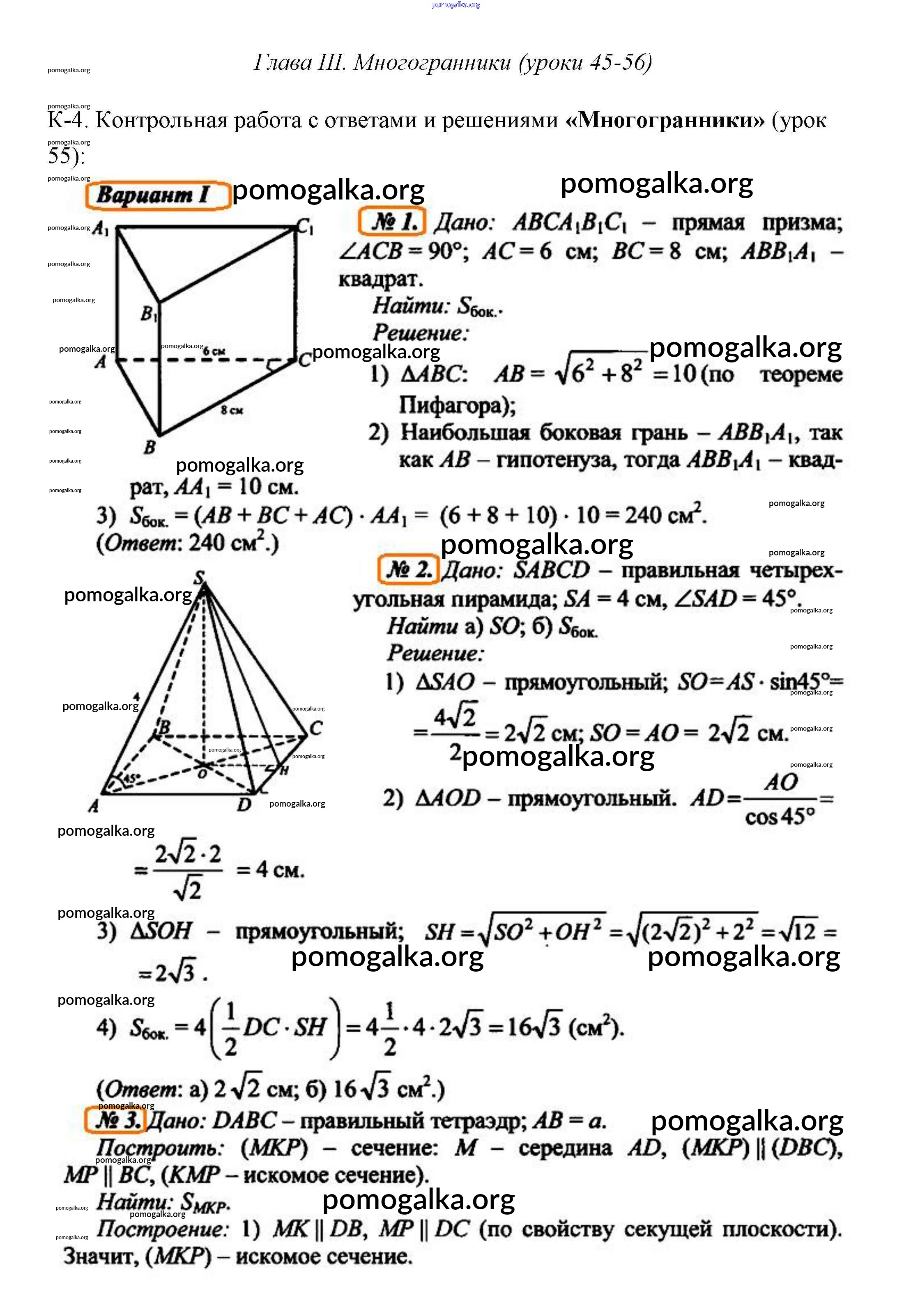
Готовые ответы - Геометрия 10 класс поурочные разработки Крупина (к Атанасяну) - уровень 1 (вариант) контрольная работа 4 1

Готовые ответы - Геометрия 10 класс поурочные разработки Крупина (к Атанасяну) - уровень 1 (вариант) контрольная работа 4 1

Геометрия 10 Поурочные разработки

контрольная работа 4 / уровень 1 (вариант) / 1

Решебник

Контрольная работа 1. Уровень 1-3

Уровень 1 (Варианты)

Уровень 2 (Варианты)

Уровень 3 (Варианты)

Контрольная работа 2. Уровень 1-3

Уровень 1 (Варианты)

Уровень 2 (Варианты)

Уровень 3 (Варианты)

Контрольная работа 3. Уровень 1-2

Уровень 1 (Варианты)

Уровень 2 (Варианты)

Контрольная работа 4. Уровень 1-3

Уровень 1 (Варианты)

Уровень 2 (Варианты)

Уровень 3 (Варианты)

Контрольная работа 5. Уровень 1-3

Уровень 1 (Варианты)

Уровень 2 (Варианты)

Уровень 3 (Варианты)

Контрольная работа 6. Уровень 1-3

Уровень 1 (Варианты)

Уровень 2 (Варианты)

Уровень 3 (Варианты)

Трать меньше времени на решение домашнего задания. Зайдя на помогалку, вы найдете все подходящие ответы к Поурочным разработкам Геометрия 10 класс Крупина Базовый и профильный уровни на упражнение Уровень 1 (Варианты) контрольная работа 4 1
Значительная информационная база

Значительная информационная база

Наличие практических заданий

Наличие практических заданий

Вспомогательный инструмент для учителя

Вспомогательный инструмент для учителя

Структурированное пособие на каждый урок

Структурированное пособие на каждый урок

Онлайн-информатор без дополнительных капиталовложений

Онлайн-информатор без дополнительных капиталовложений

Онлайн-информатор без дополнительных капиталовложений

Экономия времени на изучении материала