Готовые ответы - Алгебра 9 класс Контрольные и самостоятельные работы по алгебре и геометрии Журавлев С.Г. - с-28 самостоятельная работа Вариант №3

Готовые ответы - Алгебра 9 класс Контрольные и самостоятельные работы по алгебре и геометрии Журавлев С.Г. - с-28 самостоятельная работа Вариант №3

Алгебра 9 Контрольные и самостоятельные работы

самостоятельная работа / с-28 / вариант №3

Решебник

Контрольные работы 1-10

К-3. Целые уравнения и системы уравнений

К-6. Степень с рациональным показателем

К-7. Элементы комбинаторики и теории вероятностей

К-8. Свойства тригонометрических функций. Тригонометрические тождества. Формулы приведения

К-9. Формулы сложения и их следствия

К-10. Итоговая контрольная работа

Самостоятельные работы 1-31

С-3. График квадратичной функции

С-4. Квадратичная функция - задачи с параметрами

С-5. Решение квадратичных неравенств

С-6. Решение неравенств методом интервалов

С-8. Уравнения высших степеней - методы решения, задачи с параметрами

С-9. Решение систем уравнений второй степени

С-10. Решение задач с помощью систем уравнений

С-11. Системы рациональных уравнений

С-13. Формула суммы n первых членов арифметической прогрессии

С-15. Формула суммы первых n членов геометрической прогрессии

С-16. Комбинированные задачи на прогрессии

С-17. Четные и нечетные функции. Функция у = хn

С-18. Корень n-й степени и его свойства

С-19. Определение и свойства степени с дробным показателем

С-20. Преобразование степенных выражений с рациональными показателями

С-22. Начальные сведения из теории вероятностей

С-23. Элементы статистики и теории вероятностей

С-24. Определение тригонометрических функций

С-25. Свойства тригонометрических функций

С-26. Тригонометрические тождества и их применение

С-30. Формулы суммы и разности тригонометрических функций

С-31. Дополнительные тригонометрические задачи

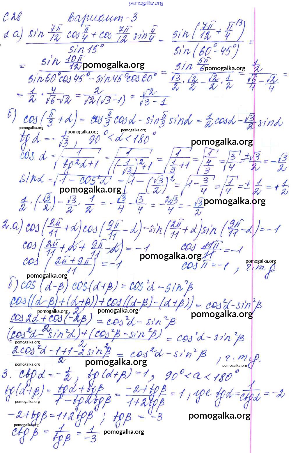
Трать меньше времени на решение домашнего задания. Зайдя на помогалку, вы найдете все подходящие ответы к Контрольным и самостоятельным работам Алгебра 9 класс Журавлев, Малышева УМК на упражнение С-28. Формулы сложения самостоятельная работа Вариант №3
Значительная информационная база

Значительная информационная база

Наличие практических заданий

Наличие практических заданий

Вспомогательный инструмент для учителя

Вспомогательный инструмент для учителя

Структурированное пособие на каждый урок

Структурированное пособие на каждый урок

Онлайн-информатор без дополнительных капиталовложений

Онлайн-информатор без дополнительных капиталовложений

Онлайн-информатор без дополнительных капиталовложений

Экономия времени на изучении материала