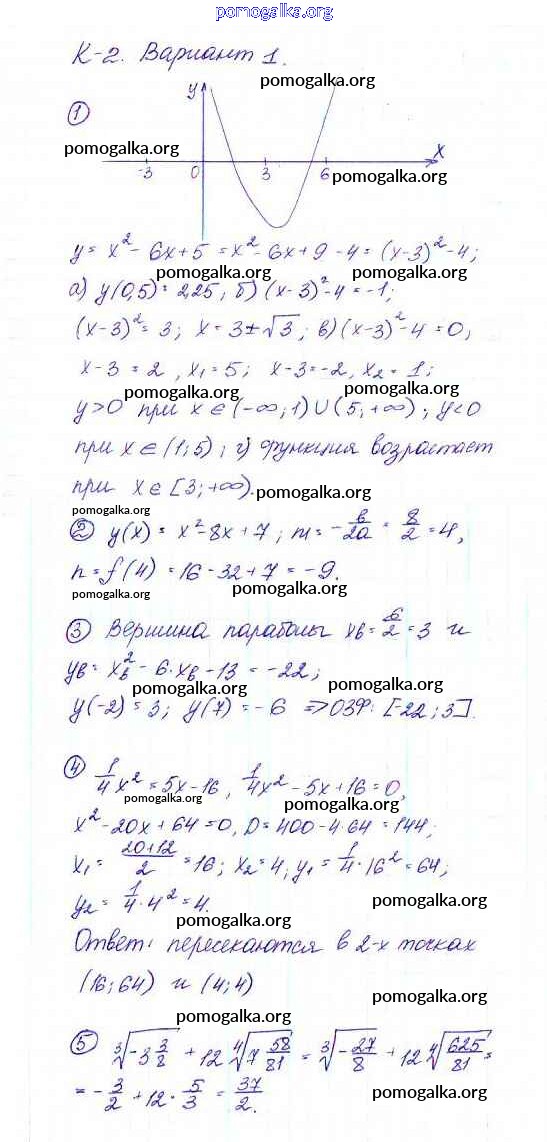
Готовые ответы - Алгебра 9 класс Дидактические материалы Макарычев Ю.Н. - кр-2 контрольная работа Вариант 1

Готовые ответы - Алгебра 9 класс Дидактические материалы Макарычев Ю.Н. - кр-2 контрольная работа Вариант 1

Алгебра 9 Дидактические материалы

контрольная работа / кр-2 / вариант 1

Решебник

Итоговый тест

Итоговое повторение по темам

Арифметическая и геометрическая прогрессии

Уравнения и неравенства с одной переменной

Уравнения и неравенства с двумя переменными

Элементы комбинаторики и теории вероятностей

Задания для школьных олимпиад

Трать меньше времени на решение домашнего задания. Зайдя на помогалку, вы найдете все подходящие ответы к Дидактическим материалам Алгебра 9 класс Макарычев, Миндюк на упражнение КР-2 контрольная работа Вариант 1
Значительная информационная база

Значительная информационная база

Наличие практических заданий

Наличие практических заданий

Вспомогательный инструмент для учителя

Вспомогательный инструмент для учителя

Структурированное пособие на каждый урок

Структурированное пособие на каждый урок

Онлайн-информатор без дополнительных капиталовложений

Онлайн-информатор без дополнительных капиталовложений

Онлайн-информатор без дополнительных капиталовложений

Экономия времени на изучении материала