Готовые ответы - Алгебра 9 класс Дидактические материалы Евстафьева Л.П. - о-3 обучающая работа 15

Готовые ответы - Алгебра 9 класс Дидактические материалы Евстафьева Л.П. - о-3 обучающая работа 15

Алгебра 9 Дидактические материалы

обучающая работа / о-3 / 15

Решебник №2

Обучающие работы

О-1. Действительные числа. №1-12

О-2. Общие свойства неравенств. №1-9

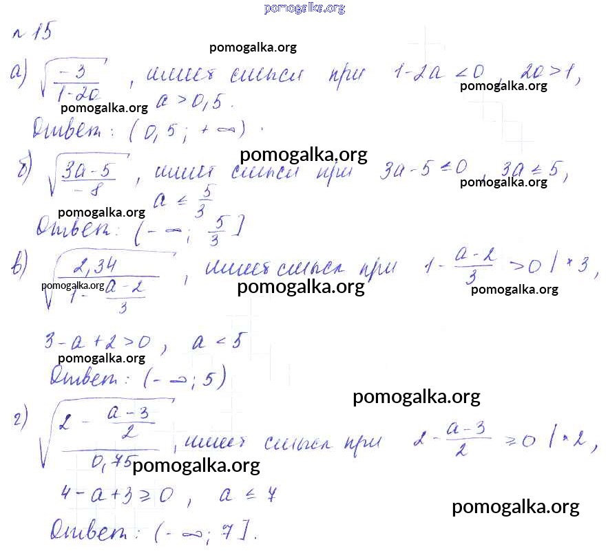
О-3. Решение неравенств. №1-15

О-4. Решение систем линейных неравенств. №1-8

О-5. Доказательство неравенств. №1-10

О-6. Что означает с точностью до... №1-13

О-8. Какую функцию называют квадратичной. №1-22

О-9. График и свойства функции y = ax2. №1-20

О-10. Сдвиг графика функции y = ax2 вдоль оси у. №1-10

О-11. Сдвиг графика функции y = ax2 вдоль оси х. №1-7

О-12. Сдвиг графика функции y = ax2 вдоль осей координат. №1-12

О-13. График функции y = ax2 + bx + c. №1-15

Проверочные работы

П-1. Действительные числа

П-2. Действительные числа

П-3. Действительные числа

П-4. Изображение действительных чисел на координатной прямой

П-5. Сравнение чисел

П-6. Свойства неравенств

П-7. Решение линейных неравенств

П-8. Решение линейных неравенств

П-9. Решение линейных неравенств

П-10. Решение линейных неравенств

П-11. Решение линейных неравенств

П-12. Решение систем линейных неравенств

П-13. Решение систем неравенств

П-14. Решение двойных неравенств

П-15. Доказательство неравенств

П-16. С точностью до...

П-17. Измерение точностью до...

П-18. Какую функцию называют квадратичной

П-19. График и свойства функции y = ax2

П-20. Сдвиг графика функции y = ax2 вдоль осей координат

П-21. График функции у = ах2

П-22. Квадратные неравенства

П-23. Вычисление значений выражений

П-24. Область определения выражения

П-25. Тождественные выражения

П-26. Упрощение выражений

П-27. Упрощение выражений

П-28. Целые уравнения

П-29. Дробные уравнения

П-30. Дробные уравнения

П-31. Решение задач

П-32. Решение задач

П-33. Решение задач

П-34. Системы уравнений с двумя переменными

П-35. Системы уравнений с двумя переменными

П-36. Решение задач с помощью систем уравнений

П-37. Решение задач с помощью систем уравнений

П-38. Решение задач с помощью систем уравнений

П-39. Графическое решение уравнений

П-40. Графическое решение уравнений

П-41. Графическое решение уравнений

П-42. Числовые последовательности

П-43. Арифметическая прогрессия

П-44. Сумма первых п членов арифметической прогрессии

П-45. Геометрическая прогрессия

П-46. Сумма первых п членов геометрической прогрессии

П-47. Простые и сложные проценты

П-49. Интервальные ряды

П-50. Стандартное отклонение

П-51. Статистическое оценивание и прогноз

Трать меньше времени на решение домашнего задания. Зайдя на помогалку, вы найдете все подходящие ответы к Дидактическим материалам Алгебра 9 класс Евстафьева, Карп на упражнение О-3. Решение неравенств. №1-15 обучающая работа 15
Значительная информационная база

Значительная информационная база

Наличие практических заданий

Наличие практических заданий

Вспомогательный инструмент для учителя

Вспомогательный инструмент для учителя

Структурированное пособие на каждый урок

Структурированное пособие на каждый урок

Онлайн-информатор без дополнительных капиталовложений

Онлайн-информатор без дополнительных капиталовложений

Онлайн-информатор без дополнительных капиталовложений

Экономия времени на изучении материала