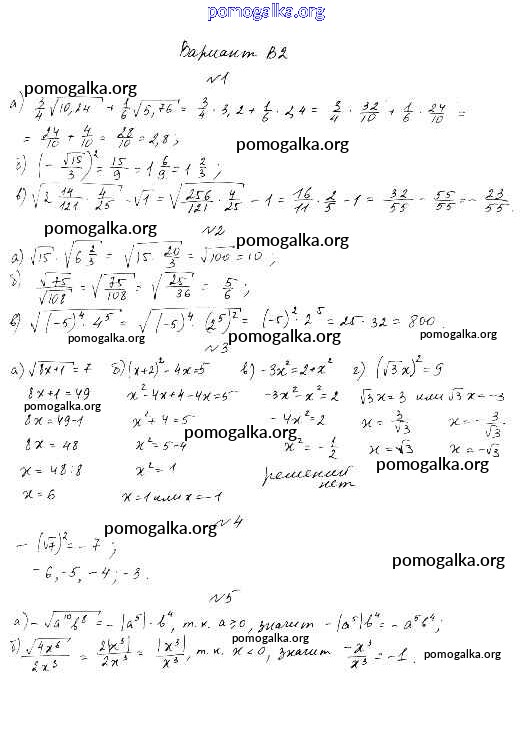
Готовые ответы - Алгебра 8 класс самостоятельные и контрольные работы Ершова А.П. - кр-3. вариант контрольная работа 6

Готовые ответы - Алгебра 8 класс самостоятельные и контрольные работы Ершова А.П. - кр-3. вариант контрольная работа 6

Алгебра 8 Самостоятельные и контрольные работы

алгебра / контрольная работа / кр-3. вариант / 6

Решебник

Алгебра

Самостоятельные работы

СР-1. Варианты

СР-2. Варианты

СР-3. Варианты

СР-4. Варианты

СР-6. Варианты

СР-7. Варианты

СР-8. Варианты

СР-9. Варианты

СР-10. Варианты

СР-11. Варианты

СР-13. Варианты

СР-14. Варианты

СР-15. Варианты

СР-17. Варианты

СР-18. Варианты

СР-19. Варианты

СР-20. Варианты

СР-21. Варианты

СР-23. Варианты

Контрольные работы

КР-1. Варианты

КР-2. Варианты

КР-3. Варианты

КР-4. Варианты

КР-5. Варианты

КР-6. Варианты

КР-7. Варианты

КР-8. Варианты

КР-9. Варианты

КР-10. Варианты

Геометрия

Самостоятельные работы

К учебнику Атанасяна

СР-1. Варианты
СР-2. Варианты
СР-4. Варианты
СР-5. Варианты
СР-6. Варианты
СР-7. Варианты
СР-9. Варианты
СР-10. Варианты
СР-11. Варианты
СР-12. Варианты
СР-14. Варианты
СР-15. Варианты
СР-16. Варианты
СР-17. Варианты
СР-19. Варианты
СР-20. Варианты
СР-21. Варианты

К учебнику Погорелова

СР-1. Варианты
СР-2. Варианты
СР-3. Варианты
СР-4. Варианты
СР-6. Варианты
СР-7. Варианты
СР-8. Варианты
СР-10. Варианты
СР-11. Варианты
СР-12. Варианты
СР-13. Варианты
СР-15. Варианты
СР-16. Варианты
СР-17. Варианты
СР-18. Варианты
СР-19. Варианты
СР-20. Варианты

Контрольные работы

К учебнику Атанасяна

КР-1. Варианты
КР-2. Варианты
КР-3. Варианты
КР-4. Варианты
КР-5. Варианты
КР-6. Варианты
КР-7. Варианты

К учебнику Погорелова

КР-1. Варианты
КР-2. Варианты
КР-3. Варианты
КР-4. Варианты
КР-5. Варианты
КР-6. Варианты
КР-7. Варианты
Трать меньше времени на решение домашнего задания. Зайдя на помогалку, вы найдете все подходящие ответы к Самостоятельным и контрольным работам Алгебра 8 класс Ершова, Голобородько на упражнение КР-3. Варианты контрольная работа 6
Значительная информационная база

Значительная информационная база

Наличие практических заданий

Наличие практических заданий

Вспомогательный инструмент для учителя

Вспомогательный инструмент для учителя

Структурированное пособие на каждый урок

Структурированное пособие на каждый урок

Онлайн-информатор без дополнительных капиталовложений

Онлайн-информатор без дополнительных капиталовложений

Онлайн-информатор без дополнительных капиталовложений

Экономия времени на изучении материала