Готовые ответы - Алгебра 7 класс Мерзляк А.Г. - §27 27.13
Алгебра
7
Учебник
Мерзляк А.Г., Поляков В.М.
§1. Введение в алгебру. №1-22
§2. Линейное уравнение с одной переменной. №1-48
§3. Решение задач с помощью уравнений. №1-53
§4. Тождественно равные выражения. Тождества. №1-19
§5. Степень с натуральным показателем. №1-54
§6. Свойства степени с натуральным показателем. №1-62
6.1
6.2
6.3
6.4
6.5
6.6
6.7
6.8
6.9
6.10
6.11
6.12
6.13
6.14
6.15
6.16
6.17
6.18
6.19
6.20
6.21
6.22
6.23
6.24
6.25
6.26
6.27
6.28
6.29
6.30
6.31
6.32
6.33
6.34
6.35
6.36
6.37
6.38
6.39
6.40
6.41
6.42
6.43
6.44
6.45
6.46
6.47
6.48
6.49
6.50
6.51
6.52
6.53
6.54
6.55
6.56
6.57
6.58
6.59
6.60
6.61
6.62
§7. Одночлены. №1-30
§9. Сложение и вычитание многочленов. №1-48
§10. Умножение одночлена на многочлен. №1-35
§11. Умножение многочлена на многочлен. №1-41
§12. Разложение многочленов на множители. Вынесение общего множителя за скобки. №1-48
§13. Разложение многочленов на множители. Метод группировки. №1-25
§14. Произведение разности и суммы двух выражений. №1-34
§15. Разность квадратов двух выражений. №1-32
§16. Квадрат суммы и квадрат разности двух выражений. Квадрат суммы нескольких выражений. №1-53
16.1
16.2
16.3
16.4
16.5
16.6
16.7
16.8
16.9
16.10
16.11
16.12
16.13
16.14
16.15
16.16
16.17
16.18
16.19
16.20
16.21
16.22
16.23
16.24
16.25
16.26
16.27
16.28
16.29
16.30
16.31
16.32
16.33
16.34
16.35
16.36
16.37
16.38
16.39
16.40
16.41
16.42
16.43
16.44
16.45
16.46
16.47
16.48
16.49
16.50
16.51
16.52
16.53
§17. Преобразование многочлена в квадрат суммы или разности двух выражений либо в квадрат суммы нескольких выражений. №1-62
17.1
17.2
17.3
17.4
17.5
17.6
17.7
17.8
17.9
17.10
17.11
17.12
17.13
17.14
17.15
17.16
17.17
17.18
17.19
17.20
17.21
17.22
17.23
17.24
17.25
17.26
17.27
17.28
17.29
17.30
17.31
17.32
17.33
17.34
17.35
17.36
17.37
17.38
17.39
17.40
17.41
17.42
17.43
17.44
17.45
17.46
17.47
17.48
17.49
17.50
17.51
17.52
17.53
17.54
17.55
17.56
17.57
17.58
17.59
17.60
17.61
17.62
§18. Сумма и разность кубов двух выражений. №1-31
§19. Куб суммы и куб разности двух выражений. №1-24
§20. Применение различных способов разложения многочлена на множители. №1-45
§21. Формулы для разложения на множители выражений вида a^n-b^n и a^n+b^n. №1-20
§22. Множество и его элементы. №1-16
§23. Связи между величинами. Функция. №1-36
§24. Способы задания функции. №1-33
§25. График функции. №1-31
§26. Линейная функция, её график и свойства. №1-63
26.1
26.2
26.3
26.4
26.5
26.6
26.7
26.8
26.9
26.10
26.11
26.12
26.13
26.14
26.15
26.16
26.17
26.18
26.19
26.20
26.21
26.22
26.23
26.24
26.25
26.26
26.27
26.28
26.29
26.30
26.31
26.32
26.33
26.34
26.35
26.36
26.37
26.38
26.39
26.40
26.41
26.42
26.43
26.44
26.45
26.46
26.47
26.48
26.49
26.50
26.51
26.52
26.53
26.54
26.55
26.56
26.57
26.58
26.59
26.60
26.61
26.62
26.63
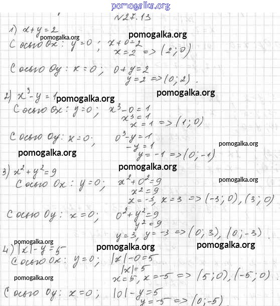
§27. Уравнения с двумя переменными. №1-44
§28. Линейное уравнение с двумя переменными и его график. №1-54
28.1
28.2
28.3
28.4
28.5
28.6
28.7
28.8
28.9
28.10
28.11
28.12
28.13
28.14
28.15
28.16
28.17
28.18
28.19
28.20
28.21
28.22
28.23
28.24
28.25
28.26
28.27
28.28
28.29
28.30
28.31
28.32
28.33
28.34
28.35
28.36
28.37
28.38
28.39
28.40
28.41
28.42
28.43
28.44
28.45
28.46
28.47
28.48
28.49
28.50
28.51
28.52
28.53
28.54
§29. Системы уравнений с двумя переменными. Графический метод решения системы двух линейных уравнений с двумя переменными. №1-25
§30. Решение систем линейных уравнений методом подстановки. №1-10
§31. Решение систем линейных уравнений методом сложения. №1-30
§32. Решение задач с помощью систем линейных уравнений. №1-59
32.1
32.2
32.3
32.4
32.5
32.6
32.7
32.8
32.9
32.10
32.12
32.13
32.14
32.15
32.16
32.17
32.18
32.19
32.20
32.21
32.22
32.23
32.24
32.25
32.26
32.27
32.28
32.29
32.30
32.31
32.32
32.33
32.34
32.35
32.36
32.37
32.38
32.39
32.40
32.41
32.42
32.43
32.44
32.45
32.46
32.47
32.48
32.49
32.50
32.51
32.52
32.53
32.54
32.55
32.56
32.57
32.58
32.59
§33. Основные правила комбинаторики. №1-23
Значительная информационная база
Наличие практических заданий
Вспомогательный инструмент для учителя
Структурированное пособие на каждый урок
Онлайн-информатор без дополнительных капиталовложений
Экономия времени на изучении материала