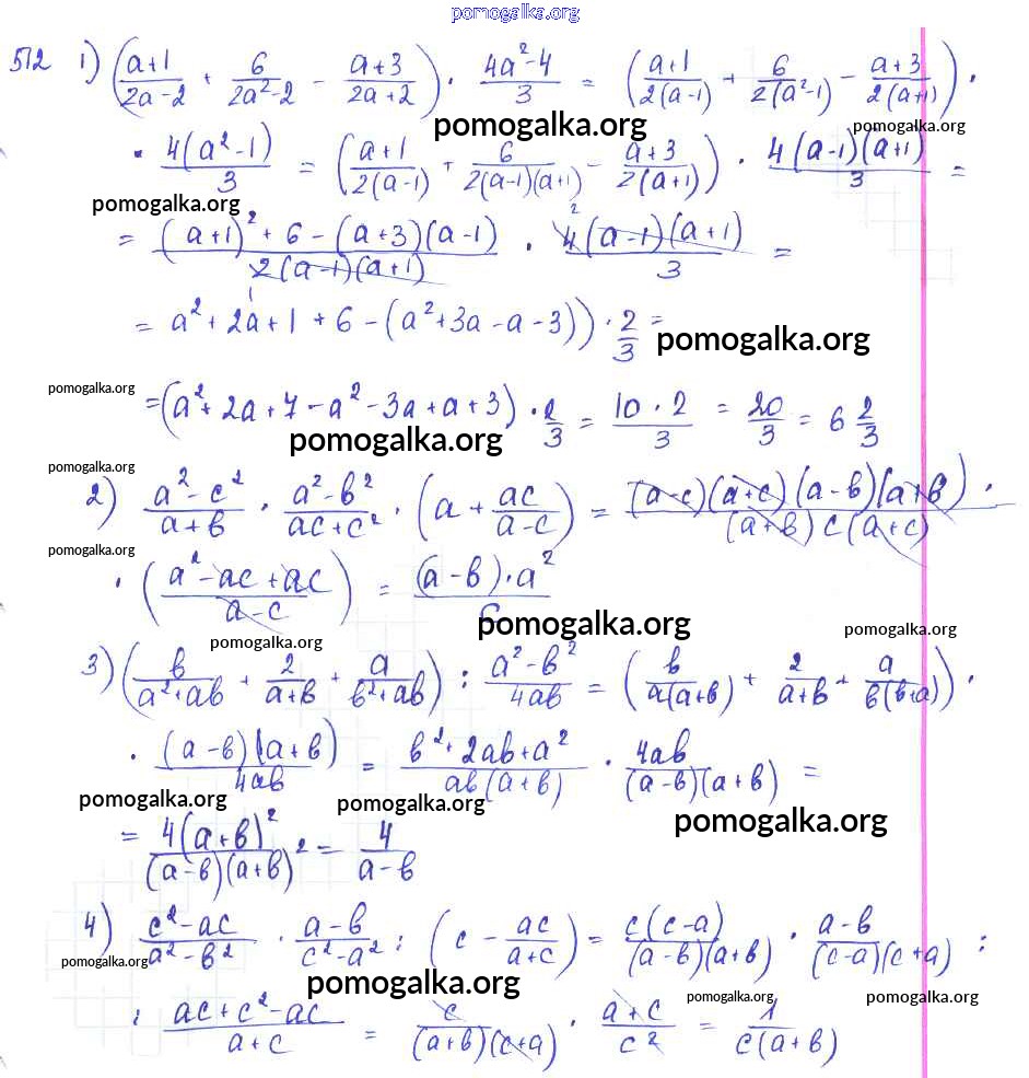
Готовые ответы - Алгебра 7 класс Алимов Ш.А. - упражнение к главе 5 глава 5 512

Готовые ответы - Алгебра 7 класс Алимов Ш.А. - упражнение к главе 5 глава 5 512

Алгебра 7 Учебник

глава 5 / упражнение к главе 5 / 512

Решебник №1

Решебник №2

Глава 1. Алгебраические выражения

§1. Числовые выражения

§2. Алгебраические выражения

§3. Алгебраические равенства. Формулы

§4. Свойства арифметических действий

§5. Правила раскрытия скобок

Глава 2. Уравнения с одним неизвестным

§6. Уравнение и его корни

§7. Решение уравнений с одним неизвестным, сводящихся к линейным

§8. Решение задач с помощью уравнений

Старинные задачи

Практические и прикладные задачи

Глава 3. Одночлены и многочлены

§11. Одночлен. Стандартный вид одночлена

§14. Приведение подобных членов

§15. Сложение и вычитание многочленов

§16. Умножение многочлена на одночлен

§17. Умножение многочлена на многочлен

§18. Деление одночлена и многочлена на одночлен

Практические и прикладные задачи

Глава 4. Разложение многочленов на множители

§23. Применение нескольких способов разложения многочлена на множители

Практические и прикладные задачи

Глава 5. Алгебраические дроби

§25. Приведение дробей к общему знаменателю

§26. Сложение и вычитание алгебраических дробей

§27. Умножение и деление алгебраических дробей

§28. Совместные действия над алгебраическими дробями

Практические и прикладные задачи

Глава 7. Системы двух уравнений с двумя неизвестными

§33. Уравнения первой степени с двумя неизвестными. Системы уравнений

§34. Способ подстановки

§35. Способ сложения

§36. Графический способ решения систем уравнений

§37. Решение задач с помощью систем уравнений

Практические и прикладные задачи

Старинные задачи

Глава 8. Элементы комбинаторики

§38. Различные комбинации из трех элементов

§39. Таблица вариантов и правило произведения

Упражнения к главе 8

Практические и прикладные задачи

Старинные задачи

Трать меньше времени на решение домашнего задания. Зайдя на помогалку, вы найдете все подходящие ответы к Учебнику Алгебра 7 класс Алимов, Колягин на упражнение Упражнения к главе 5 глава 5 512
Значительная информационная база

Значительная информационная база

Наличие практических заданий

Наличие практических заданий

Вспомогательный инструмент для учителя

Вспомогательный инструмент для учителя

Структурированное пособие на каждый урок

Структурированное пособие на каждый урок

Онлайн-информатор без дополнительных капиталовложений

Онлайн-информатор без дополнительных капиталовложений

Онлайн-информатор без дополнительных капиталовложений

Экономия времени на изучении материала