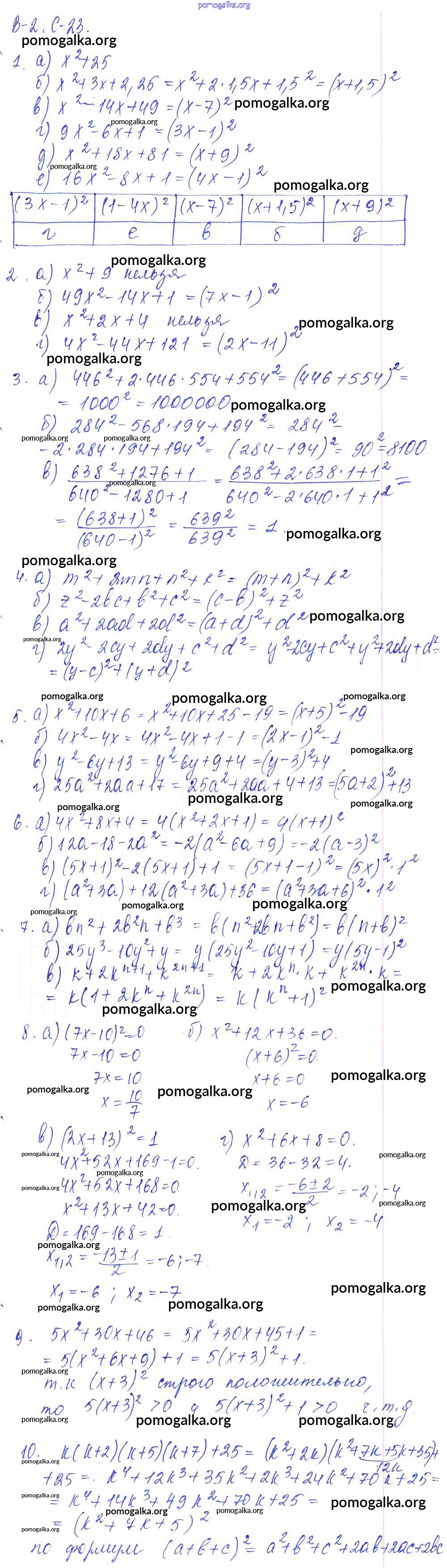
Готовые ответы - Алгебра 7 класс дидактические материалы Звавич Л.И. (к уч. Макарычев) - ср-23 самостоятельная работа Вариант 2

Готовые ответы - Алгебра 7 класс дидактические материалы Звавич Л.И. (к уч. Макарычев) - ср-23 самостоятельная работа Вариант 2

Алгебра 7 Дидактические материалы

самостоятельная работа / ср-23 / вариант 2

Решебник

Установочный тест

Трать меньше времени на решение домашнего задания. Зайдя на помогалку, вы найдете все подходящие ответы к Дидактическим материалам Алгебра 7 класс Звавич, Дьяконова УМК на упражнение Ср-23 самостоятельная работа Вариант 2
Значительная информационная база

Значительная информационная база

Наличие практических заданий

Наличие практических заданий

Вспомогательный инструмент для учителя

Вспомогательный инструмент для учителя

Структурированное пособие на каждый урок

Структурированное пособие на каждый урок

Онлайн-информатор без дополнительных капиталовложений

Онлайн-информатор без дополнительных капиталовложений

Онлайн-информатор без дополнительных капиталовложений

Экономия времени на изучении материала