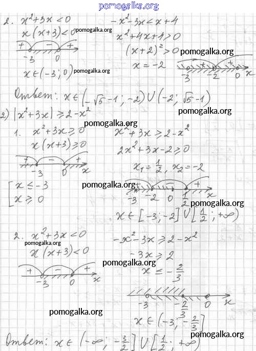
Готовые ответы - Математика: алгебра и начала математического анализа 11 класс Мерзляк А.Г. - §19 19.17
Алгебра
11
Учебник
Мерзляк А.Г., Номировский Д.А., Полонский В.Б.
§1. Представление о пределе функции в точке и о непрерывности функции в точке. №1-38
§2. Задачи о мгновенной скорости и касательной к графику функции. №1-22
§3. Понятие производной. №1-26
§4. Правила вычисления производных. №1-46
§5. Уравнение касательной. №1-39
§6. Признаки возрастания и убывания функции. №1-21
§7. Точки экстремума функции. №1-24
§8. Наибольшее и наименьшее значения функции. №1-22
§9. Построение графиков функций. №1-17
§10. Степень с произвольным действительным показателем. Показательная функция. №1-25
§11. Показательные уравнения. №1-25
§13. Логарифм и его свойства. №1-13
§14. Логарифмическая функция и её свойства. №1-31
§15. Логарифмические уравнения. №1-29
§16. Логарифмические неравенства. №1-20
§17. Производные показательной и логарифмической функций. №1-25
§18. Первообразная. №1-31
§19. Правила нахождения первообразной. №1-19
Значительная информационная база
Наличие практических заданий
Вспомогательный инструмент для учителя
Структурированное пособие на каждый урок
Онлайн-информатор без дополнительных капиталовложений
Экономия времени на изучении материала