Готовые ответы - Алгебра 11 класс контрольные работы Базовый и Углубленный уровень Глизбург В.И. - кр-2  5

Готовые ответы - Алгебра 11 класс контрольные работы Базовый и Углубленный уровень Глизбург В.И. - кр-2 5

Алгебра 11 Контрольные работы

кр-2 / 5

Решебник

КР-1. Варианты 1-6

КР-2. Варианты 1-6

КР-3. Варианты 1-6

КР-4. Варианты 1-6

КР-5. Варианты 1-4

КР-6. Варианты 1-4

КР-7. Варианты 1-4

КР-8. Варианты 1-4

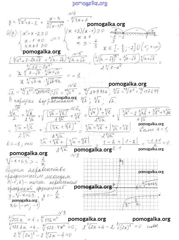
Трать меньше времени на решение домашнего задания. Зайдя на помогалку, вы найдете все подходящие ответы к Контрольным работам Алгебра 11 класс Глизбург Базовый и углубленный уровень на упражнение КР-2. Варианты 1-6 5
Значительная информационная база

Значительная информационная база

Наличие практических заданий

Наличие практических заданий

Вспомогательный инструмент для учителя

Вспомогательный инструмент для учителя

Структурированное пособие на каждый урок

Структурированное пособие на каждый урок

Онлайн-информатор без дополнительных капиталовложений

Онлайн-информатор без дополнительных капиталовложений

Онлайн-информатор без дополнительных капиталовложений

Экономия времени на изучении материала