Готовые ответы - Математика: алгебра и начала математического анализа 10 класс Мерзляк А.Г. - §27  27.3

Готовые ответы - Математика: алгебра и начала математического анализа 10 класс Мерзляк А.Г. - §27 27.3

Алгебра 10 Учебник

§27 / 27.3

Решебник

§2. Построение графиков функций с помощью геометрических преобразований №1-14

§4. Равносильные уравнения и неравенства №1-13

§12. Иррациональные уравнения №1-10

§13. Иррациональные неравенства №1-9

§15. Тригонометрические функции числового аргумента №1-21

§16. Знаки значений тригонометрических функций. Чётность и нечётность тригонометрических функций №1-17

§17. Периодические функции №1-8

§19. Свойства и графики функций y = tg x и y = ctg x №1-14

§20. Основные соотношения между тригонометрическими функциями одного и того же аргумента №1-22

§24. Сумма и разность синусов (косинусов) №1-12

§25. Формулы преобразования произведения тригонометрических функций в сумму №1-12

§28. Уравнения tg x = b и ctg x = b №1-10

§29. Функции y = arccos x, y = arcsin x, y = arctg x и y = arcctg x №1-14

§30. Тригонометрические уравнения, сводящиеся к алгебраическим №1-22

§31. Решение тригонометрических уравнений методом разложения на множители №1-8

§32. Решение простейших тригонометрических неравенств №1-7

§33. Представление о пределе функции в точке и о непрерывности функции в точке №1-11

§34. Задачи о мгновенной скорости и касательной к графику функции №1-10

§38. Признаки возрастания и убывания функции №1-14

§40. Применение производной при нахождении наибольшего и наименьшего значений функции №1-21

§41. Построение графиков функций №1-4

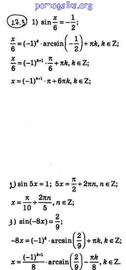
Трать меньше времени на решение домашнего задания. Зайдя на помогалку, вы найдете все подходящие ответы к Учебнику Алгебра 10 класс Мерзляк, Номировский Алгоритм успеха Базовый уровень на упражнение §27. Уравнение sin x = b №1-14 27.3
Значительная информационная база

Значительная информационная база

Наличие практических заданий

Наличие практических заданий

Вспомогательный инструмент для учителя

Вспомогательный инструмент для учителя

Структурированное пособие на каждый урок

Структурированное пособие на каждый урок

Онлайн-информатор без дополнительных капиталовложений

Онлайн-информатор без дополнительных капиталовложений

Онлайн-информатор без дополнительных капиталовложений

Экономия времени на изучении материала