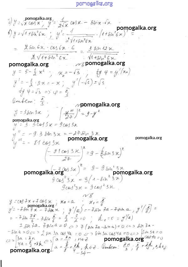
Готовые ответы - Алгебра и начала математического анализа 10 класс Контрольные работы Глизбург В.И. - кр-7 контрольные работы вариант 4

Готовые ответы - Алгебра и начала математического анализа 10 класс Контрольные работы Глизбург В.И. - кр-7 контрольные работы вариант 4

Алгебра 10 Контрольные работы

контрольные работы / кр-7 / вариант 4

Решебник

Трать меньше времени на решение домашнего задания. Зайдя на помогалку, вы найдете все подходящие ответы к Контрольным работам Алгебра 10 класс Глизбург Базовый и углубленный уровень на упражнение КР-7 контрольные работы вариант 4
Значительная информационная база

Значительная информационная база

Наличие практических заданий

Наличие практических заданий

Вспомогательный инструмент для учителя

Вспомогательный инструмент для учителя

Структурированное пособие на каждый урок

Структурированное пособие на каждый урок

Онлайн-информатор без дополнительных капиталовложений

Онлайн-информатор без дополнительных капиталовложений

Онлайн-информатор без дополнительных капиталовложений

Экономия времени на изучении материала