Готовые ответы - Алгебра  и начала математического анализа 10 класс Дидактические материалы Шабунин М.И. (к уч. Алимова) - §22 глава 5 вариант 1

Готовые ответы - Алгебра и начала математического анализа 10 класс Дидактические материалы Шабунин М.И. (к уч. Алимова) - §22 глава 5 вариант 1

Алгебра 10 Дидактические материалы

глава 5 / §22 / вариант 1

Решебник

Глава 1. Действительные числа. §1-5

§1. Целые и рациональные числа

§2. Действительные числа

§3. Бесконечно убывающая геометрическая прогрессия

§4. Арифметический корень натуральной степени

§5. Степень с рациональным и действительным показателями

Контрольная работа №1

Глава 2. Степенная функция. §6-10

§6. Степенная функция, её свойства и график

§7. Взаимно обратные функции

§8. Равносильные уравнения и неравенства

§9. Иррациональные уравнения

§10. Иррациональные неравенства

Контрольная работа №2

Глава 3. Показательная функция. §11-14

§11. Показательная функция, её свойства и график

§12. Показательные уравнения

§13. Показательные неравенства

§14. Системы показательных уравнений и неравенств

Контрольная работа №3

Глава 4. Логарифмическая функция. §15-20

§15. Логарифмы

§16. Свойства логарифмов

§17. Десятичные и натуральные логарифмы. Формула перехода

§18. Логарифмическая функция, её свойства и график

§19. Логарифмические уравнения

§20. Логарифмические неравенства

Контрольная работа №4

Глава 5. Тригонометрические формулы. §21-32

§21. Радианная мера угла

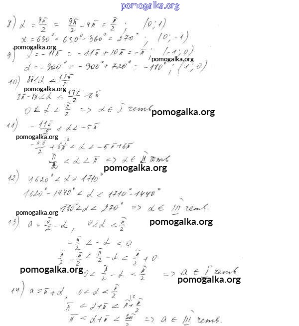
§22. Поворот точки вокруг начала координат

§23. Определение синуса, косинуса и тангенса угла

§24. Знаки синуса, косинуса и тангенса

§25. Зависимость между синусом, косинусом и тангенсом одного и того же угла

§26. Тригонометрические тождества

§27. Синус, косинус и тангенс углов а и -а

§28. Формулы сложения

§29. Синус, косинус и тангенс двойного угла

§30. Синус, косинус и тангенс половинного угла

§31. Формулы приведения

§32. Сумма и разность синусов. Сумма и разность косинусов

Контрольная работа №5

Глава 6. Тригонометрические уравнения. §33-37

§33. Уравнение cos л: = а

§34. Уравнение sin л: = а

§35. Уравнение tgx = а

§36. Решение тригонометрических уравнений

§37. Примеры решения простейших тригонометрических неравенств

Контрольная работа №6

Трать меньше времени на решение домашнего задания. Зайдя на помогалку, вы найдете все подходящие ответы к Дидактическим материалам Алгебра 10 класс Шабунин, Ткачева Базовый и углубленный уровень на упражнение §22. Поворот точки вокруг начала координат глава 5 вариант 1
Значительная информационная база

Значительная информационная база

Наличие практических заданий

Наличие практических заданий

Вспомогательный инструмент для учителя

Вспомогательный инструмент для учителя

Структурированное пособие на каждый урок

Структурированное пособие на каждый урок

Онлайн-информатор без дополнительных капиталовложений

Онлайн-информатор без дополнительных капиталовложений

Онлайн-информатор без дополнительных капиталовложений

Экономия времени на изучении материала